Product Summary
The SN75452BP is a dual peripheral driver designed for use in systems that employ TTL logic. This family is functionally interchangeable with and replaces the SN75450 family and the SN75450A family devices manufactured previously. The speed of the SN75452BP is equal to that of the SN75450 family, and the parts are designed to ensure freedom from latch-up. Diode-clamped inputs simplify circuit design.
Parametrics
SN75452BP absolute maximum ratings: (1)Supply voltage, VCC: 7 V; (2)Input voltage, VI: 5.5 V; (3)Inter-emitter voltage: 5.5 V; (4)Off-state output voltage, VO: 30 V; (5)Continuous collector or output current, IOK: 400 mA; (6)Peak collector or output current, II (tw ≤ 10 ms, duty cycle ≤ 50%, see Note 4): 500 mA; (7)Continuous total power dissipation See Dissipation Rating Table; (8)Operating free-air temperature range, TA: 0 to 70℃; (9)Storage temperature range, Tstg: -65 to 150℃; (10)Case temperature for 60 seconds FK package: 260℃; (11)Lead temperature 1,6 mm (1/16 inch) from case for 60 seconds JG package: 300℃; (12)Lead temperature 1,6 mm (1/16 inch) from case for 10 seconds D or P package: 260℃.
Features
SN75452BP features: (1)Characterized for Use to 300 mA; (2)High-Voltage Outputs; (3)No Output Latch-Up at 20 V (After Conducting 300 mA); (4)High-Speed Switching; (5)Circuit Flexibility for Varied Applications; (6)TTL-Compatible Diode-Clamped Inputs; (7)Standard Supply Voltages; (8)Plastic DIP (P) With Copper Lead Frame Provides Cooler Operation and Improved Reliability; (9)Package Options Include Plastic Small-Outline Packages, Ceramic Chip Carriers, and Standard Plastic and Ceramic 300-mil DIPs.
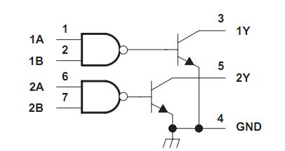
Diagrams

| Image | Part No | Mfg | Description | ![]() |
Pricing (USD) |
Quantity | ||||||||||||
|---|---|---|---|---|---|---|---|---|---|---|---|---|---|---|---|---|---|---|
![]() |
![]() SN75452BP |
![]() Texas Instruments |
![]() Peripheral Drivers & Components (PCIs) Dual Hi Spd Periph |
![]() Data Sheet |
![]()
|
|
||||||||||||
![]() |
![]() SN75452BPE4 |
![]() Texas Instruments |
![]() Peripheral Drivers & Components (PCIs) Dual Hi Spd Periph |
![]() Data Sheet |
![]()
|
|
||||||||||||
![]() |
![]() SN75452BPSR |
![]() Texas Instruments |
![]() Peripheral Drivers & Components (PCIs) Dual Hi Current Peripheral Drivers |
![]() Data Sheet |
![]()
|
|
||||||||||||
![]() |
![]() SN75452BPSRE4 |
![]() Texas Instruments |
![]() Peripheral Drivers & Components (PCIs) Dual Hi Current Peripheral Drivers |
![]() Data Sheet |
![]()
|
|
||||||||||||
![]() |
![]() SN75452BPSRG4 |
![]() Texas Instruments |
![]() Peripheral Drivers & Components (PCIs) Dual Hi Current Peripheral Drivers |
![]() Data Sheet |
![]()
|
|
||||||||||||
(China (Mainland))









